说起极值点一定导数等于0吗,极值点导数为0的知识,大家都知道,还有人问极值点的导数一定为0吗,下面就和小编来学习一下!
本文目录一览:
极值点的导数一定为0吗
如果函数在一个点上,同时不能满足极值的三个充分条件,那么这个点还有可能是极值点吗?换句话说,函数是否存在同时不满足极值三个充分条件的极值点。看完下面这道关于分段函数的极值问题,您就会明确这个问题了。

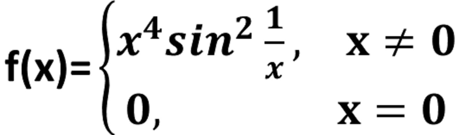
设{当x不等于0时,f(x)=x^4sin^2(1/x);当x=0时,f(x)=0}.
(1)证明x=0是函数f的极小值点;
(2)说明在f的极小值点x=0处是否满足极值的第一充分条件或第二充分条件.
分析:(1)这个分段函数在x=0连续,但却不可导,即x=0是函数的不可导点。如果您要用极值的第一充分条件来判定它是不是极值点的话,那是行不通的。不信您可以自己动手试一试。这时候我们可以用极值的定义来判断。即在x=0的某邻域上,所有的函数值都不小于f(0),就称x=0是函数的极小值点,反之则是极大值点。事实上,这道题所取的这个邻域甚至可以是全域R。
(2)之所以(1)中不能运用极值的第一充分条件来判定x=0是否函数的极值点,就是因为函数在这个点上,并不满足第一充分条件。想要证明这一点,仍需对函数求导。然后证明函数在x=0的所有单侧(左侧或右侧,未必要左侧和右侧同时满足)邻域内,导函数值总是存在变号的情况,就可以了。即在任一左侧邻域内,或任一右侧邻域内,肯定同时存在负导数和正导数。
证:(1)∵对任意x≠0,有f(x)=x^4sin^2(1/x)≥0,∴x=0是f的极小值点.

(2){当x不等于0时,f'(x)=x^2(4xsin^2(1/x)-sin(2/x));当x=0时,f'(0)};
【导函数仍是一个分段函数。这个导函数也是连续但在x=0不可导的,下面补充x不等于0时的求导过程:f'(x)=4x^3sin^2(1/x)-2x^4cos(1/x)sin(1/x)/x^2
=4x^3sin^2(1/x)-x^2sin(2/x)=x^2(4xsin^2(1/x)-sin(2/x)】
令xn=(2nπ+π/4)^(-1), yn=(2nπ+π/2)^(-1), (n=1,2,…),【高等数学利用三角函数的周期性,取无穷大或无穷小量,以达到证明极小区间上的条件,是非常常见的方法】
则xn, yn>0且lim(x->无穷大)xn=lim(x->无穷大)yn=0,【说明xn, yn做自变量时,都是x=0任意右邻域内可以取得的点】
又f’(xn)=(2nπ+π/4)^(-2)·[2(2nπ+π/4)^(-1)-1]<0,
f’(yn)=(2nπ+π/2)^(-2)·[4(2nπ+π/2)^(-1)-0]=4(2nπ+π/2)^(-3)>0,
即f’在任一U+?(0,δ)内变号,∴f在x=0处不满足第一充分条件.
又f”(0)=0,∴f在x=0处不满足第二充分条件.
甚至f^(n)(0)=0,∴f在x=0处不满足第三充分条件.
因此,可以发现,就算是一个点同时不能满足极值的三个充分条件,它也有可能是极值点。所以极值三个充分条件的逻辑或,并不是极值的必要条件.
为什么极值点的导数不一定为0
因为还可能是不可导点,导数不存在的点。例如f(x)=|x|,这个函数。x=0就是这个函数的极小值点。但是这个函数在x=0点不可导。所以极值点的导数不一定为0,可能没有导数。
以上就是关于极值点一定导数等于0吗,极值点导数为0的知识,后面我们会继续为大家整理关于极值点的导数一定为0吗的知识,希望能够帮助到大家!
本图文由用户发布,该文仅代表作者本人观点,本站仅提供信息存储空间服务。如发现本站有涉嫌抄袭侵权/违法违规的内容,联系本站举报。转发注明出处:https://www.xsy-edu.com/n/11517.html
