提到不定积分与定积分的区别,定积分与不定积分的不同,大家也许都懂,有人问不定积分和定积分的区别,下面和小编一起看看不定积分与定积分的区别,定积分与不定积分的不同,希望能够帮到您!
本文目录一览:
不定积分和定积分的区别
今天是高等数学专题的第8篇文章,今天的内容是不定积分。
我之前的高数老师曾经说过,高等数学就是大半本的微积分加上一些数列和极限的知识。而微积分当中,积分相关又占据了大半江山。微积分之所以重要并不是因为它的比重大、容量多,而是因为它常用。几乎所有理工科的课本上都有微积分的公式,原因也很简单,当年这些科学家在研究未知事物或者是进行计算的时候,大量使用了微积分作为工具。这也是我们必须学它的原因。
原函数
我一直都觉得微积分这个名字起得很好,微积分是微分和积分的合称。微分是通过宏观研究微观,而积分恰恰相反则是通过微观获取宏观。因此从某种意义上来说,我们可以将积分看成是微分的反面。
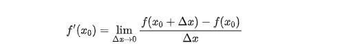
微分对应的是极限,在函数当中,我们通过让 Δx 趋近于0研究函数的变化情况。当 Δx 趋向于0时,我们获得的函数变化率就是函数的导数,这也是导数公式的由来:

我们从微分的角度来看积分,也就是说我们来逆向思考这个过程。如果说我们获得的导数是 f'(x),那么求导之前的函数f(x)会是什么呢?在这个问题当中,求导之前的函数称为原函数,我们写成F(x),如果F(x)是f(x)的原函数,那么它应该满足对于任意的 x ∈ I,都有 F'(x) = f(x)。
比如说因为 f(x) = x^2 的导数是2x,所以 x^2 是2x的一个原函数。
函数和原函数的关系我们清楚,但是为了严谨,我们还需要思考一个问题,原函数一定存在吗?
这个问题看起来很绕,其实很容易想通,如果函数连续,那么原函数一定存在。高数书上说这个是原函数存在定理,但是连一句话证明也没有,可想而知它基本上已经被当成是公理了。我们来简单分析一下,如函数f(x)连续,也就是说原函数的导数存在并且连续。我们知道连续不一定可导,但可导一定连续。现在导函数存在并且连续了,那么说明原函数一定连续。如果函数不存在怎么连续呢?所以当前函数f(x)连续,说明它的原函数F(x)一定存在。
不定积分
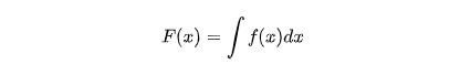
我们搞明白了原函数之后,就可以开始不定积分的内容了。其实不定积分没什么计算内容,我倒觉得更像是映射。将当前函数映射成原函数。
也就是说,我们通过当前函数f(x)去寻找一个原函数F(x),使得:F'(x) = f(x),我们把这个过程倒过来写,即:

这个式子其实就是求导的逆运算,完全没有技术含量,应该都能看明白。这个时候,我们来问一个问题,对于一个确定的函数f(x)而言,它的原函数是确定的吗?
比如我们刚刚那个例子 f(x) = 2x,那么它的原函数只有 F(x) = x^2 吗?
答案是明显的,不是。我们随便就可以举出另一个原函数来:F(x) = x^2 + 3,同样,我们把后面的常数换成其他的值一样是合法的原函数。所以我们可以知道,原函数是无穷的,差别只在于最后跟的常数不同。也就是说原函数因为这个常数的存在是不确定的,这也是不定积分当中”不定“两个字的由来。
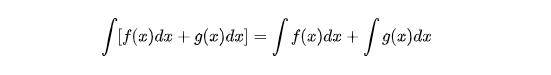
简单性质
根据不定积分的定义,我们可以推导出一些简单的性质。我们先来看第一个性质,也是最简单的性质:

这个证明非常简单,我们直接对原式求导即可:

同样简单的还有另一个性质:

证明方法和刚才一样,直接求导即可。
好了,以上就是不定积分的全部性质了。你可能会问为什么性质里面没有乘法和除法的性质?我也曾经好奇过这个问题,因为在我查过的所有资料当中都没有相关的公式。我自己也试着推导过,但是没有什么结果。这当然不是数学家们偷懒或者是算不出来,估计可能是太过复杂,所以不太实用吧。
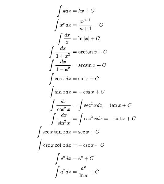
基本积分表
最后,我们来看一下不定积分的基本积分表,方便我们计算的时候查询。

不定积分本身的内容就是这么多,理解起来并不困难。不过在实际解决问题的过程当中,还存在一些解题的技巧,由于篇幅问题,我们放到下一篇文章当中和大家一起分享。
今天的文章就是这些,如果觉得有所收获,请顺手点个关注或者转发吧,你们的举手之劳对我来说很重要。
不定积分和定积分有什么区别
定积分与不定积分区别:
1、不定积分和定积分的区别是定积分确切的说是一个数,或者说是关于积分上下限的二元函数,也可以成为二元运算,不定积分也可以看成是一种运算,但最后的结果不是一个数,而是一类函数的集合.不定积分是微分的逆运算,而定积分是建立在不定积分的基础上把值代进去相减。
2、在应用上,积分作用不仅如此,它被大量应用于求和,通俗的说是求曲边三角形的面积,这巧妙的求解方法是积分特殊的性质决定的。一个函数的不定积分(亦称原函数)指另一族函数,这一族函数的导函数恰为前一函数。
3、定积分与不定积分的运算法则相同,并且积分公式,计算方法也相同。从牛顿-莱布尼茨公式看出,定积分与不定积分联系紧密,相互转换共用。
两者的联系是:
定积分和不定积分运算时的法则是一样的。对于一个函数来讲可存在不定积分,但不存在定积分;也能够存在定积分,但不存在不定积分。
以上就是关于不定积分与定积分的区别,定积分与不定积分的不同的知识,后面我们会继续为大家整理关于不定积分和定积分的区别的知识,希望能够帮助到大家!
本图文由用户发布,该文仅代表作者本人观点,本站仅提供信息存储空间服务。如发现本站有涉嫌抄袭侵权/违法违规的内容,联系本站举报。转发注明出处:https://www.xsy-edu.com/n/6112.html
