网上有很多关于不定积分怎么求导,不定积分的计算方法有哪些的知识,也有很多人为大家解答关于不定积分怎么求的问题,今天搜了网为大家整理了关于这方面的知识,让我们一起来看下吧!
本文目录一览:
1、不定积分怎么求
不定积分怎么求
以下内容,均整理自各大考研名师微博、或微信公众号
微博名称及水印即为来源出处
整理仅供考研学子方便学习
欢迎大家关注原作者微博、公众号
如涉及版权问题请留言告知立即删除
文章来源微信公众账号:张宇考研数学(ID:zhangyumaths)

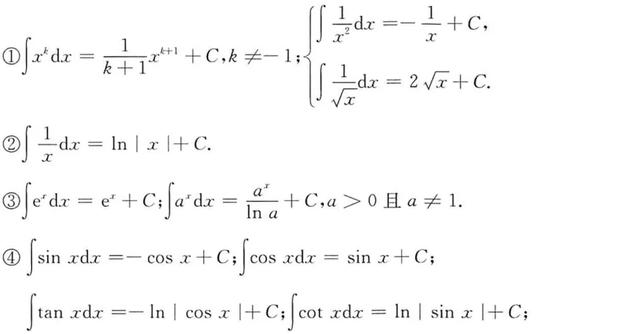
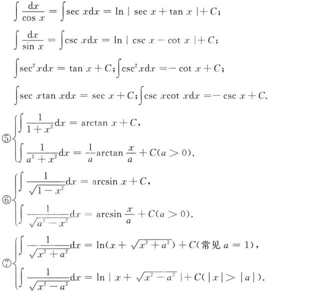
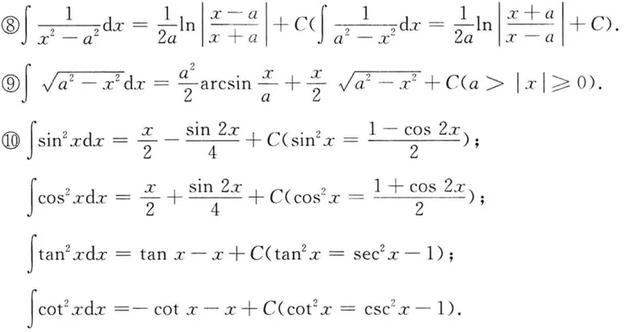
一、基本积分公式



二、凑微分法
基本思想


三、换元法
换元法


三角函数代换

倒代换

四、分部积分法
基本思想

推广公式

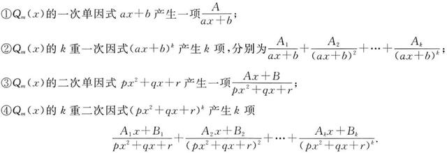
五、有理函数的积分
定义

方法

基本原则

概率论与数理统计
考研数学|背公式–概率论与数理统计03:概型、条件概率公式
考研数学:概率公式大全
考研数学|一起背公式–概率论与数理统计2:概率及其基本性质
【考研数学】数学概率例题:离散型概率分布(09年真题)
【考研数学】数学概率例题:概率密度的性质(10年真题)
考研数学|背公式-概率论与数理统计5:常见随机变量的概率分布
【考研数学】真题精讲:全概率和贝叶斯公式
【考研数学】考研数学概率性质(真题)
「公式」概率论与数理统计公式总结
【考研数学】数学概率例题:指数分布的性质(12年真题)
线性代数
「考研数学」考研数学线性代数公式:矩阵
「考研数学」考研数学线性代数公式:行列式
21考研数学|公式库:线性代数10:向量组的线性相(无)关性
21考研数学|公式库:线性代数04:矩阵的轶
21考研数学|公式库:线性代数16:齐次线性方程组的解的结构
2020考研线性代数公式大全:矩阵
2020考研线性代数公式大全:矩阵
2020考研线性代数公式大全:向量组的线性相关性
考研数学:高数、线性代数、概率统计知识梳理图
2020考研线性代数公式大全:向量组的线性相关性
高数
考研数学|高数必备公式–高数篇
21考研数学|公式库:高数23:数项级数
21考研数学|公式库:高数24:幂级数
21考研数学|公式库:高数25:傅里叶级数
21考研数学|公式库:高数01:函数
21考研数学|公式库:高数14:向量代数
21考研数学|公式库:高数15:空间平面与直线
21考研数学|公式库:高数04:连续
2020考研数学高数练习题及答案
函数的渐近线怎么求_20高数重点题型
怎样求不定积分的计算公式?
不定积分基本公式如下:
在微积分中,一个函数f 的不定积分,或原函数,或反导数,是一个导数等于f 的函数 F ,即F ′ = f。
不定积分和定积分间的关系由微积分基本定理确定。其中F是f的不定积分。
不定积分与定积分之间的关系:
定积分是一个数,而不定积分是一个表达式,它们仅仅是数学上有一个计算关系。一个函数,可以存在不定积分,而不存在定积分,也可以存在定积分,而没有不定积分。
连续函数,一定存在定积分和不定积分;若在有限区间[a,b]上只有有限个间断点且函数有界,则定积分存在;若有跳跃、可去、无穷间断点,则原函数一定不存在,即不定积分一定不存在。
以上就是关于不定积分怎么求导,不定积分的计算方法有哪些的知识,后面我们会继续为大家整理关于不定积分怎么求的知识,希望能够帮助到大家!
本图文由用户发布,该文仅代表作者本人观点,本站仅提供信息存储空间服务。如发现本站有涉嫌抄袭侵权/违法违规的内容,联系本站举报。转发注明出处:https://www.xsy-edu.com/n/6120.html
